CasImg
产品纠错
CAS号:1000417-14-0 | 英文名称:
分子式
分子量
EINECS号
MDL
Smiles
InChIKey
乙二醇化学百科
基本信息
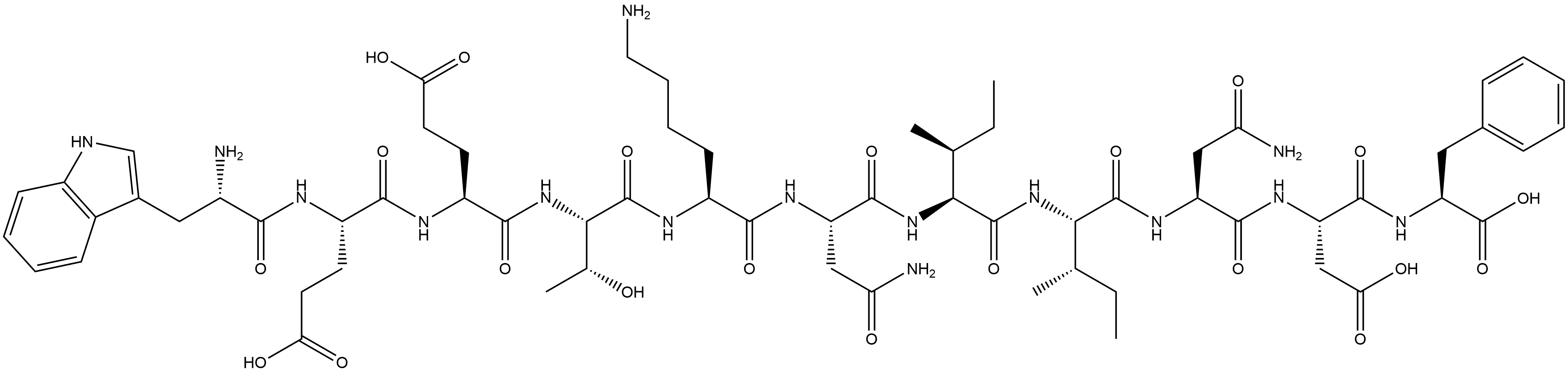
中文名称 L-Tryptophyl-L-α-glutamyl-L-α-glutamyl-L-threonyl-L-lysyl-L-asparaginyl-L-isoleucyl-L-isoleucyl-L-asparaginyl-L-α-aspartyl-L-phenylalanine
英文名称 L-Tryptophyl-L-α-glutamyl-L-α-glutamyl-L-threonyl-L-lysyl-L-asparaginyl-L-isoleucyl-L-isoleucyl-L-asparaginyl-L-α-aspartyl-L-phenylalanine
CAS号 1000417-14-0
分子式 C64H93N15O21
分子量 1408.51
物化性质
安全信息
生产及用途
上下游产品
上游产品共计:0个
下游产品共计:0个
相关产品
产品供应商

本网站展示的所有产品仅用于工业制造、技术研发、科学研究,所有产品非药品不可食用,依据国家相关法规及平台管理要求,购买相关危险物品应取得有效的资质、资格条件。 参考《应急管理部等多部门关于加强互联网销售危险化学品安全管理的通知 (应急〔2022〕119号)》 和《互联网危险物品信息发布管理规定》

Copyright © 2021-2025 chemhome123版权所有 |冀ICP备2024096099号- 1|冀公安备13042302000143号|互联网增值电信业务经营许可证:冀B2-20250121 |药品、 医疗器械互联网信息服务备案凭证备案号:(冀)-非经营性-2025-0099