CasImg
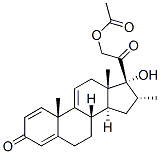
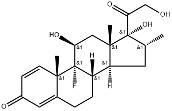
17,21-二羟基-16α-甲基孕烯-1,4,9(11)-三烯-3,20-二酮-21-乙酸酯
产品纠错
CAS号:10106-41-9 | 英文名称:17-alpha,21-Dihydroxy-16-alpha-Methylpregna-1,4,9(11)-Triene-3,20-Dione 21-Acetate
分子式 C24H30O5
分子量 398
EINECS号 233-290-4
MDL
Smiles
InChIKey
乙二醇化学百科
基本信息
中文名称 16Α-甲基孕甾-1,4,9(11)-三烯-17Α,21-二醇-3,20-二酮-21-醋酸酯
英文名称 17,21-Dihydroxy-16α-methylpregna-1,4,9(11)-triene-3,20-dione 21-Acetate
CAS号 10106-41-9
分子式 C24H30O5
分子量 398.49
EINECS号 233-290-4
物化性质
熔点 210-213 °C
沸点 560.0±50.0 °C(Predicted)
密度 1.22±0.1 g/cm3(Predicted)
溶解度 可溶于氯仿(少许)、乙酸乙酯(少许)、甲醇(少许)
形态 固体
酸度系数(pKa) 12.48±0.70(Predicted)
颜色 白色至黄色
安全信息
生产及用途
化学性质 
结晶。熔点208℃。
用途 
地塞米松醋酸酯的中间体。
生产方法 
可用3β-羟基孕甾-5,16-二烯-20-酮-3-醋酸酯(即妊娠双烯醇酮醋酸酯)经(16-位双键亚硝基甲基脲)加成并消除,生成3β-羟基-16β-甲基孕甾-5,16-二烯-20-酮,然后[16(17)-位]环氧化、乙酰化并环氧基开环(形成17α-羟基及15-位双键)、进而(15-位双键)催化氢化、水解(脱3-位乙酰基)、(3-位羟基)氧化(双键转至4-位)、(21-位)碘化、(21-位碘以乙酰氧基)置换、生物氧化(引入11-位羟基)(11-位羟基)磺酰化并消除[形成9(11)-双键]制得该品。
产品供应商

本网站展示的所有产品仅用于工业制造、技术研发、科学研究,所有产品非药品不可食用,依据国家相关法规及平台管理要求,购买相关危险物品应取得有效的资质、资格条件。 参考《应急管理部等多部门关于加强互联网销售危险化学品安全管理的通知 (应急〔2022〕119号)》 和《互联网危险物品信息发布管理规定》

Copyright © 2021-2025 chemhome123版权所有 |冀ICP备2024096099号- 1|冀公安备13042302000143号|互联网增值电信业务经营许可证:冀B2-20250121 |药品、 医疗器械互联网信息服务备案凭证备案号:(冀)-非经营性-2025-0099