您好!欢迎来到化工e站网
登录
注册
发布供应信息
我的EWeb ▼
发布产品
产品管理
导航菜单 ▼
关于我们
中文 ▼
简体中文
产品
字典
氯化钾
|
乙二醇
|
碘甲烷
|
溴化亚铜
|
叔丁醇钾
|
DMAP
全部分类
∨
首页
Cas目录
产品分类
新闻资讯
医药中间体
无机化工
有机原料
原料药
染料及颜料
表面活性剂
香精与香料
化学试剂
食品添加剂
催化剂及助剂
分析化学
原料药中间体
OLED材料中间体
9-[1,1'-联苯]-3-基-3-溴-9H-咔唑
2-碘-9,9-二甲基芴
9,9-二甲基-2,7-二碘芴
(9-苯基-9H-咔唑-2-基)硼酸
2,6-bis(3-(9H-carbazol-9-yl)phenyl)pyridine
2-{[5-(1,3-二噁茚满-5-基)-1,2-噁唑-3-基]甲氧基}乙酸
3-苯基-9-苯基咔唑-6-硼酸频哪醇酯
N-(4-溴苯基)-N-苯基-1-萘胺
单质
铼粉
铑
钌催化剂
钐粉
金属钪
氢、氮、氧等工业气体
无机碱
氢氧化铯 溶液
碳酸钠(十水)
溴化钙
无机酸
氧化物和过氧化物
荧光素
非金属矿
羰基金属
目录导航
基本信息
物化性质
安全信息
生产及用途
上下游产品
相关产品
首页
化工产品目录
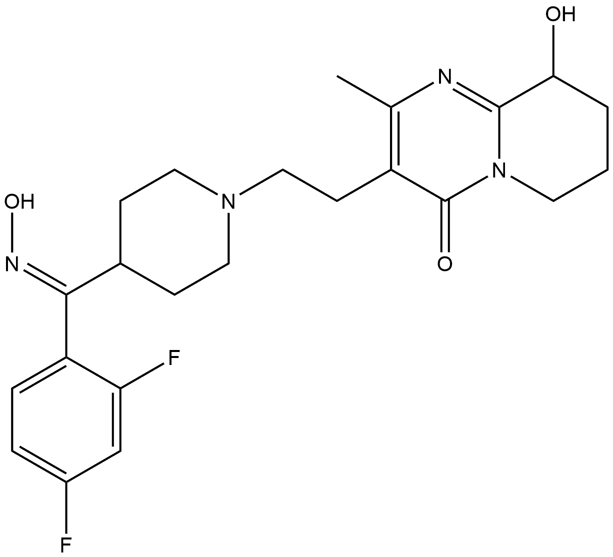
帕潘立酮棕榈酸酯开环杂质
帕潘立酮棕榈酸酯开环杂质
产品纠错
CAS号:152542-03-5
|
英文名称:3-{2-[4-(4-fluoro-2-hydroxybenzoyl)piperidin-1-yl]ethyl}-9-hydroxy-2-methyl-6,7,8,9-tetrahydropyrido[1,2-a]pyrimidin-4-one
分子式
分子量
EINECS号
MDL
Smiles
InChIKey
帕潘立酮棕榈酸酯开环杂质化学百科
基本信息
中文名称
帕利哌酮开环杂质
英文名称
Paliperidone Impurity 4
CAS号
152542-03-5
分子式
C23H28FN3O4
分子量
429.48
物化性质
安全信息
生产及用途
上下游产品
上游产品
共计:
6
个
CAS号:16867-03-1
2-氨基-3-羟基吡啶
CAS号:517-23-7
2-乙酰基-γ-丁内酯
CAS号:144598-75-4
9-羟基利培酮
CAS号:16867-03-1
2-氨基-3-羟基吡啶
CAS号:517-23-7
2-乙酰基-γ-丁内酯
CAS号:144598-75-4
9-羟基利培酮
下游产品
共计:
0
个
相关产品
CAS号:260273-82-3
3-(2-氯乙基)-9-羟基-2-甲基-4H-吡啶并[1,2-a]嘧啶-4-酮
CAS号:84163-13-3
6-氟-3-(4-哌啶基)-1,2-苯异恶唑盐酸盐
CAS号:1346598-34-2
5-氟帕利哌酮
CAS号:135634-18-3
(2,4-二氟苯基)-4-哌啶基甲酮肟盐酸盐 (LC&T)
CAS号:849903-79-3
帕利哌酮相关物质A
CAS号:1020719-55-4
RAC-9羟利培酮D4
CAS号:95742-20-4
3-(2-氯乙基)-6,7,8,9-四氢-2-甲基-4H-吡啶并[1,2-a]-嘧啶-4-酮
CAS号:1404053-60-6
棕榈酸帕利哌酮N氧化物
CAS号:130049-82-0
帕潘立酮相关化合物C(标准品)
CAS号:1404053-61-7
帕利哌酮十五酸酯
CAS号:1189516-65-1
帕潘立酮棕榈酸酯氧化杂质
CAS号:1388021-46-2
帕潘立酮E-异构体
CAS号:1172995-13-9
帕利哌酮十八酸酯
CAS号:147663-01-2
(S)-9-羟基利培酮
CAS号:130049-85-3
帕潘立酮R-异构体
CAS号:761460-08-6
帕潘立酮USP RC D
CAS号:1138463-56-5
帕潘立酮杂质
CAS号:144598-75-4
9-羟基利培酮
CAS号:260273-82-3
3-(2-氯乙基)-9-羟基-2-甲基-4H-吡啶并[1,2-a]嘧啶-4-酮
CAS号:84163-13-3
6-氟-3-(4-哌啶基)-1,2-苯异恶唑盐酸盐
CAS号:1346598-34-2
5-氟帕利哌酮
CAS号:135634-18-3
(2,4-二氟苯基)-4-哌啶基甲酮肟盐酸盐 (LC&T)
CAS号:849903-79-3
帕利哌酮相关物质A
CAS号:1020719-55-4
RAC-9羟利培酮D4
CAS号:95742-20-4
3-(2-氯乙基)-6,7,8,9-四氢-2-甲基-4H-吡啶并[1,2-a]-嘧啶-4-酮
CAS号:1404053-60-6
棕榈酸帕利哌酮N氧化物
CAS号:130049-82-0
帕潘立酮相关化合物C(标准品)
CAS号:1404053-61-7
帕利哌酮十五酸酯
CAS号:1189516-65-1
帕潘立酮棕榈酸酯氧化杂质
CAS号:1388021-46-2
帕潘立酮E-异构体
CAS号:1172995-13-9
帕利哌酮十八酸酯
CAS号:147663-01-2
(S)-9-羟基利培酮
CAS号:130049-85-3
帕潘立酮R-异构体
CAS号:761460-08-6
帕潘立酮USP RC D
CAS号:1138463-56-5
帕潘立酮杂质
CAS号:144598-75-4
9-羟基利培酮
产品供应商