您好!欢迎来到化工e站网
登录
注册
发布供应信息
我的EWeb ▼
发布产品
产品管理
导航菜单 ▼
关于我们
中文 ▼
简体中文
产品
字典
氯化钾
|
乙二醇
|
碘甲烷
|
溴化亚铜
|
叔丁醇钾
|
DMAP
全部分类
∨
首页
Cas目录
产品分类
新闻资讯
医药中间体
无机化工
有机原料
原料药
染料及颜料
表面活性剂
香精与香料
化学试剂
食品添加剂
催化剂及助剂
分析化学
原料药中间体
OLED材料中间体
9-[1,1'-联苯]-3-基-3-溴-9H-咔唑
2-碘-9,9-二甲基芴
9,9-二甲基-2,7-二碘芴
(9-苯基-9H-咔唑-2-基)硼酸
2,6-bis(3-(9H-carbazol-9-yl)phenyl)pyridine
2-{[5-(1,3-二噁茚满-5-基)-1,2-噁唑-3-基]甲氧基}乙酸
3-苯基-9-苯基咔唑-6-硼酸频哪醇酯
N-(4-溴苯基)-N-苯基-1-萘胺
单质
铼粉
铑
钌催化剂
钐粉
金属钪
氢、氮、氧等工业气体
无机碱
氢氧化铯 溶液
碳酸钠(十水)
溴化钙
无机酸
氧化物和过氧化物
荧光素
非金属矿
羰基金属
目录导航
基本信息
物化性质
安全信息
生产及用途
上下游产品
相关产品
首页
化工产品目录
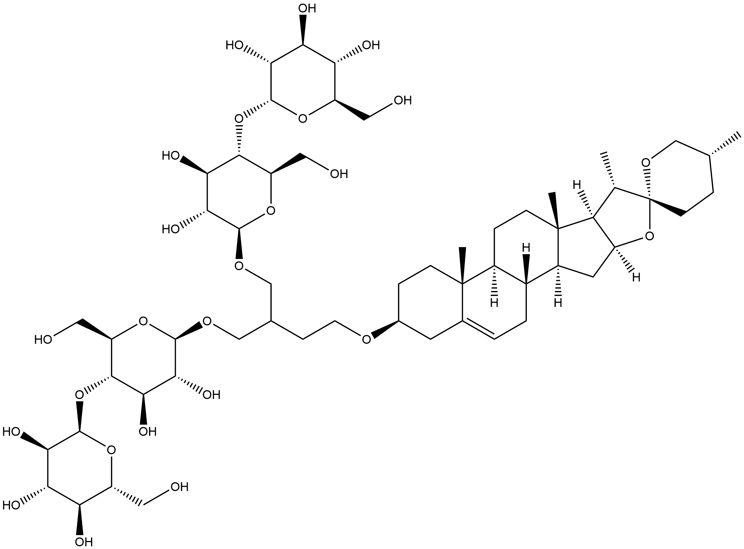
重楼皂苷VII
重楼皂苷VII
产品纠错
CAS号:68124-04-9
|
英文名称:Chonglou Saponin VII
分子式
C
51
H
82
O
21
分子量
1031
EINECS号
MDL
MFCD20260362
Smiles
InChIKey
重楼皂苷VII化学百科
基本信息
中文名称
CHONGLOU SAPONIN VII
英文名称
Chonglou Saponin VII
CAS号
68124-04-9
分子式
C51H82O21
分子量
1031.2
物化性质
安全信息
生产及用途
上下游产品
上游产品
共计:
0
个
下游产品
共计:
0
个
相关产品
CAS号:471-95-4
蟾毒它灵, 蟾蜍他灵
CAS号:81917-50-2
重楼皂苷H
CAS号:55916-52-4
偏诺皂苷元-3-O-Α-L-吡喃鼠李糖-(1→4)[Α-L-吡喃鼠李糖基](1→2)-Β-D-葡萄糖苷
CAS号:76296-72-5
重楼皂苷II
CAS号:26361-67-1
旌节花甾酮 D
CAS号:19057-67-1
蓣次苷 A , 来源于重楼
CAS号:19057-60-4
薯蓣皂甙
CAS号:76296-75-8
重楼皂苷G
CAS号:76296-71-4
重楼皂苷C
CAS号:50773-41-6
重楼皂苷D
CAS号:76296-73-6
重楼皂苷E
CAS号:83-46-5
β-谷甾醇 , 来源于玉米
CAS号:465-39-4
酯蟾毒配基,蟾力苏
CAS号:55916-51-3
重楼皂苷Ⅵ
CAS号:1111088-89-1
14-羟基麦冬皂苷C
CAS号:1402423-29-3
糖酵素(GDN)
CAS号:630-64-8
灰白糖芥甙
CAS号:465-21-4
蟾毒灵
CAS号:471-95-4
蟾毒它灵, 蟾蜍他灵
CAS号:81917-50-2
重楼皂苷H
CAS号:55916-52-4
偏诺皂苷元-3-O-Α-L-吡喃鼠李糖-(1→4)[Α-L-吡喃鼠李糖基](1→2)-Β-D-葡萄糖苷
CAS号:76296-72-5
重楼皂苷II
CAS号:26361-67-1
旌节花甾酮 D
CAS号:19057-67-1
蓣次苷 A , 来源于重楼
CAS号:19057-60-4
薯蓣皂甙
CAS号:76296-75-8
重楼皂苷G
CAS号:76296-71-4
重楼皂苷C
CAS号:50773-41-6
重楼皂苷D
CAS号:76296-73-6
重楼皂苷E
CAS号:83-46-5
β-谷甾醇 , 来源于玉米
CAS号:465-39-4
酯蟾毒配基,蟾力苏
CAS号:55916-51-3
重楼皂苷Ⅵ
CAS号:1111088-89-1
14-羟基麦冬皂苷C
CAS号:1402423-29-3
糖酵素(GDN)
CAS号:630-64-8
灰白糖芥甙
CAS号:465-21-4
蟾毒灵
产品供应商