CasImg
氨基胍重碳酸盐
产品纠错
CAS号:2582-30-1 | 英文名称:Aminoguanidine bicarbonate, 98.5%
分子式
分子量
EINECS号
MDL
Smiles
InChIKey
乙二醇化学百科
基本信息
中文名称 氨基胍碳酸氢盐
英文名称 Aminoguanidine
CAS号 2582-30-1
分子式 C2H8N4O3
分子量 136.11
EINECS号 219-956-7
物化性质
熔点 170-172 °C (dec.)(lit.)
密度 1,6 g/cm3
LogP -6.61 at 25℃
溶解度 20°C时在水中溶解度为2.7g/L
形态 结晶粉末
酸度系数(pKa) 6.19[at 20 ℃]
颜色 白色至类白色
PH值 8.9 (5g/l, H2O, 20℃)
水溶解性 <5 g/L (20 ºC)
BRN 3569869
安全信息
危险品标志 Xi,Xn,N
危险类别码 52/53-43-36/37/38-20/21/22-51/53
安全说明 22-24/25-37-24-36-26-36/37
危险品运输编号 UN3077
WGK Germany 2
RTECS号 FG1772000
自燃温度 245 °C
TSCA Yes
海关编码 29280090
危险等级 9
包装类别 III
毒性 LD50 orally in Rabbit: > 5000 mg/kg
生产及用途

氨基胍碳酸盐是一种重要的绿色环保溶剂和工业中间体,广泛应用于有机合成、医药、农药和化工等工业领域。氨基胍碳酸盐内生基团能进行多种基化反应、缩合反应、缩合环化反应等。

在一装有 PH 计在线监测装置的 3000L 搪玻璃反应釜内投入 1500L 自来水和 150kg 水合肼(含量≥ 80%),滴加 40%稀硫酸至 PH 值为 5 ~ 6,加入 1kg 磷酸二氢钠稳定剂, 分三次投入石灰氮(石灰氮总量为360kg,有效含 N 量≥ 22%,每次投入石灰氮为 120kg), 强烈搅拌,使用流量计连续匀速滴加经稀硫酸,滴加过程中,用循环水将温度控制在 45℃左右,滴加至反应液pH为7.2-7.8 即可。滴加完毕后,升温,在 70℃保温 3 小时,保温过程中 保持反应液pH为7.2-7.8。向保温好的反应液中通入压缩空气 10 分钟,然后通过离心机 和减压真空将反应液过滤;过滤过程中,用40℃左右的温水冲洗滤饼,至滤液呈清水色止;滤液集中至一3000 L结晶釜内搅拌,缓慢均匀加入 300kg 碳酸氢铵,待氨基胍碳酸氢盐结晶 4 小时以上后,通过离心机分离,得到 376kg湿的氨基胍碳酸盐,含量83.6%,40℃真空干燥得 317kg 产品,含量为99.16%。以水合肼计算产品收率为 96.3%。

氨基胍碳酸盐的合成路线

图 氨基胍碳酸盐的合成路线

化学性质 
白色细结晶粉末。 几乎不溶于水,不溶于醇和其他酸。
用途 
本品可用作医药、农药、染料、照相药剂、发泡剂和炸药的合成原料。
生产方法 
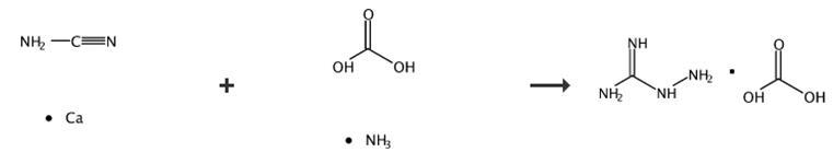
1.以石灰氮、水合肼、碳酸氢铵或碳酸氢钠为原料制得。先将蒸馏水加入石灰氮中,于45-50℃保温6h,滤去废渣,得氰胺(钙)溶液,然后向氰胺(钙)溶液中加入稀硫酸至pH=6-7,冷至室温,滤去硫酸钙,即得氰胺溶液;再向氰胺溶液中加入5%的水合肼,在50℃时保温4h,然后加入碳酸氢铵,放置,析出结晶,滤干即为氨基胍碳酸氢盐粗品,将粗品加乙酸溶解,再加草酸,滤去草酸钙,溶液用氨水调至pH=8-9,加入少许EDTA二钠,过滤清亮,再加入滤好的碳酸氢铵溶液,放置,结晶,滤干,分别以蒸馏水、乙醇洗涤,滤干即得成品。2.甲基异硫脲硫酸盐、水合肼、碳酸氢钠进行缩合反应:将甲基异硫脲硫酸盐溶于水中,在室温滴加水合肼,加毕继续搅拌1.5h,过滤。滤液减压浓缩至原体积的2/5,然后用乙酸调节pH至5,冷至30℃以下,搅拌下加入饱和碳酸氢溶液,搅拌2h后放料,冷却过夜,过滤,滤饼先水洗,再用乙醇洗,50℃干燥,得氨基胍碳酸氢盐。收率85%-90%。3.用氨基氰和硫酸肼反应,然后加入碳酸氢钠水溶液进行反应,也可制得氨基胍重碳酸盐。
产品供应商
Aminoguanidine bicarbonate
询价
上海阿拉丁生化科技股份有限公司
2023-10-02

本网站展示的所有产品仅用于工业制造、技术研发、科学研究,所有产品非药品不可食用,依据国家相关法规及平台管理要求,购买相关危险物品应取得有效的资质、资格条件。 参考《应急管理部等多部门关于加强互联网销售危险化学品安全管理的通知 (应急〔2022〕119号)》 和《互联网危险物品信息发布管理规定》

Copyright © 2021-2025 chemhome123版权所有 |冀ICP备2024096099号- 1|冀公安备13042302000143号|互联网增值电信业务经营许可证:冀B2-20250121 |药品、 医疗器械互联网信息服务备案凭证备案号:(冀)-非经营性-2025-0099