CasImg
异氟泼尼松
产品纠错
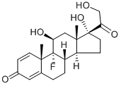
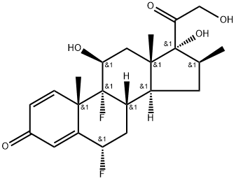
CAS号:338-95-4 | 英文名称:Isoflupredone
分子式 C21H27FO5
分子量 378
EINECS号 206-422-3
MDL MFCD00076089
Smiles
InChIKey
乙二醇化学百科
基本信息
中文名称 异氟泼尼松
英文名称 Isoflupredone
CAS号 338-95-4
分子式 C21H27FO5
分子量 378.43
EINECS号 206-422-3
SMILES [C@@]12([H])CCC3=CC(=O)C=C[C@]3(C)[C@@]1(F)[C@@H](O)C[C@]1(C)[C@@](CC[C@@]21[H])(O)C(=O)CO |&1:0,10,12,14,17,19,22,r|
物化性质
熔点 260-262°C (dec.)
比旋光度 D23 +108° (c = 0.611 in ethanol); D23 +94° (alcohol)(Fried)
沸点 566.7±50.0 °C(Predicted)
密度 1.35±0.1 g/cm3(Predicted)
溶解度 DMSO(微溶)、乙醇(微溶、加热、超声处理)、乙酸乙酯(微溶)
形态 固体
酸度系数(pKa) 12.10±0.70(Predicted)
颜色 白色至浅棕色
安全信息
生产及用途
异氟泼尼松,9a-氟-11b,16a,17a,21-四羟基-1,4-孕烯-3,20-二酮(9-α-fluoro-11β,16-α,17α,21-tetrahydroxypregna-1,4-diene-3,20-dione),CAS登记号:124-94-7,是一种肾上腺皮质激素及促肾上腺皮质激素药,抗炎作用较氢化可的松、泼尼松均强,水钠潴留作用则较轻微,口服易吸收,适用于类风湿性关节炎、其它结缔组织疾病、支气管哮喘、过敏性皮炎、神经性皮炎、湿疹等,尤适用于对皮质激素禁忌的伴有高血压或浮肿的关节炎患者。本品作用较氢化可的松、泼尼松均强。水钠潴留作用则较轻微,几乎不产生水肿,副作用比泼尼松小。患者体态改变、毛发增多和体重增加不良反应低。对患者肝、肾功能无影响。不引起血压升高。应用其较强的免疫抑制作用,治疗各种变态反应性炎症、各种自身免疫性疾病。由于它的主要药理作用与醋酸泼尼松(强的松)相同,因此其适应证和强的松的基本相同,主要包括:①系统性红斑狼疮等结缔组织病。②肾病综合征等免疫性肾脏疾病。③特发性血小板减少性紫癜等免疫性病。④醋酸泼尼松所适用的其他疾病。口服。初始剂量为每天4~48mg,具体用量可根据病种和病情确定。最好于每天早晨8~9时将全天剂量一次服用,以最大限度地减少对患者下丘脑-垂体-肾上腺轴的干扰,病情控制后应逐渐缓慢减量。部分患者需长期用维持剂量,每日为4~8mg。除一般不引起浮肿、满月脸及高血压外,其他参见于氢化可的松。1.各种细菌性感染及全身性真菌感染者禁用。
2.对本品及肾上腺皮质激素类药过敏者禁用。1.因服用此药会使免疫系统受到抑制,故病人比健康人更易感染,应予以特别注意。
2.下列情况应慎用:心脏病或急性心力衰竭、糖尿病、憩室炎、情绪不稳定或有精神病倾向、青光眼、肝功能损害、眼单纯性疱疹、高脂蛋白血症、高血压、甲状腺功能减低、重症肌无力、骨质疏松、胃溃疡、胃炎、食管炎、肾功能损害或结石、结核病、凝血酶原过少。
3.妊娠、哺乳期妇女慎用。FDA对本药的妊娠安全性分级为C级,如妊娠早期为D级。
4.儿童长期使用可抑制生长和发育,应慎用。
5.定期检测血压、体重、血糖、尿糖、血清电解质、大便潜血,并进行眼科检查。
6.长期大剂量应用时,需定期检查双侧髋关节。
7.对不能排除感染(包括结核感染者)者,应合并使用有效的抗感染药物。
8.长期大剂量用药后撤药前应进行下丘脑-垂体-肾上腺轴受抑制的检查。
产品供应商

本网站展示的所有产品仅用于工业制造、技术研发、科学研究,所有产品非药品不可食用,依据国家相关法规及平台管理要求,购买相关危险物品应取得有效的资质、资格条件。 参考《应急管理部等多部门关于加强互联网销售危险化学品安全管理的通知 (应急〔2022〕119号)》 和《互联网危险物品信息发布管理规定》

Copyright © 2021-2025 chemhome123版权所有 |冀ICP备2024096099号- 1|冀公安备13042302000143号|互联网增值电信业务经营许可证:冀B2-20250121 |药品、 医疗器械互联网信息服务备案凭证备案号:(冀)-非经营性-2025-0099