CasImg
麦迪霉素
产品纠错
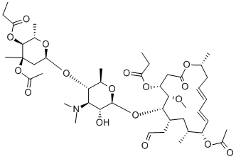
CAS号:35457-80-8 | 英文名称:MIDECAMYCIN
分子式 C41H67NO15
分子量 814
EINECS号 252-578-0
MDL MFCD00865000
Smiles
InChIKey
乙二醇化学百科
基本信息
中文名称 麦迪霉素
英文名称 MIDECAMYCIN
CAS号 35457-80-8
分子式 C41H67NO15
分子量 813.97
EINECS号 252-578-0
物化性质
熔点 155℃ -156℃
比旋光度 D23 -67° (c = 1 in ethanol)
沸点 874℃
密度 1.1651 (rough estimate)
折射率 1.6220 (estimate)
闪点 >110°(230°F)
溶解度 氯仿(微溶)、乙醇(微溶)、甲醇(微溶)
形态 固体
酸度系数(pKa) 6.9 in 50% aq ethanol
颜色 白色至类白色
水溶解性 Soluble in methanol or ethanol. Insoluble in water
安全信息
RTECS号 OH4730600
生产及用途
麦迪霉素为链霉菌产生的一种大环内酯类抗生素。抗菌性能与红霉素相似,麦迪霉素通过作用于细菌核糖体的50S亚基,阻碍细菌蛋白质的合成而发挥作用,为生长期抑菌药。麦迪霉素与红霉素抗菌谱相似,对革兰阳性菌和奈瑟菌属有良好的抗菌作用,对非产酶金葡菌、表皮葡萄球菌、肺炎球菌、溶血性链球菌、白喉杆菌、百日咳杆菌、支原体等均有作用。细菌对本品与红霉素之间有交叉耐药性,部分耐红霉素的金葡菌对本品仍敏感。

1)将麦迪霉素发酵液先调至酸性,用陶瓷膜过滤器过滤,过滤完成后,用1〜2倍体积的pH已调至4.0〜5.0的纯化水溶液顶水,全收集滤过液;
2)将上述滤液调至碱性,加入乙酸丁酯萃取,乙酸丁酯的体积为滤液体积10%〜15%;
3)将上述萃取液在酸溶液中转相;
4)通过碱性溶液将转相液pH调至8.0〜8.5,加入为转相液体积10 %〜15 %的乙酸丁酯45〜50°C的条件下萃取,得到萃取液后,再在常温下逐渐滴加pH为6.0〜8.0的纯化水至有大量晶体析出;
5)晶体用离心机分离后,用潮晶质量1〜2倍体积50 %浓度的乙酸丁酯溶液洗涤晶体,干燥得到麦迪霉素成品。

Midecamycin 是一种乙酰氧基取代的大环内酯类抗生素,可针对革兰氏阳性和阴性菌。

Antibacterial

Midecamycin inhibits the majority of streptococci , staphylococci , and strains of Haemophilus and Listeria at concentrations of less than 3.1 μg/mL. Midecamycin is a 16-membered macrolide. Midecamycin is a new macrolide antibiotic, which is produced by Streptomyces mycarofaciens .

用途 
主要对于革兰阳性菌和脑膜炎球菌、淋病球菌等革兰阴性菌具有抗菌活性
上下游产品
上游产品共计:2个
下游产品共计:0个
产品供应商

本网站展示的所有产品仅用于工业制造、技术研发、科学研究,所有产品非药品不可食用,依据国家相关法规及平台管理要求,购买相关危险物品应取得有效的资质、资格条件。 参考《应急管理部等多部门关于加强互联网销售危险化学品安全管理的通知 (应急〔2022〕119号)》 和《互联网危险物品信息发布管理规定》

Copyright © 2021-2025 chemhome123版权所有 |冀ICP备2024096099号- 1|冀公安备13042302000143号|互联网增值电信业务经营许可证:冀B2-20250121 |药品、 医疗器械互联网信息服务备案凭证备案号:(冀)-非经营性-2025-0099