CasImg
夫西地酸
产品纠错
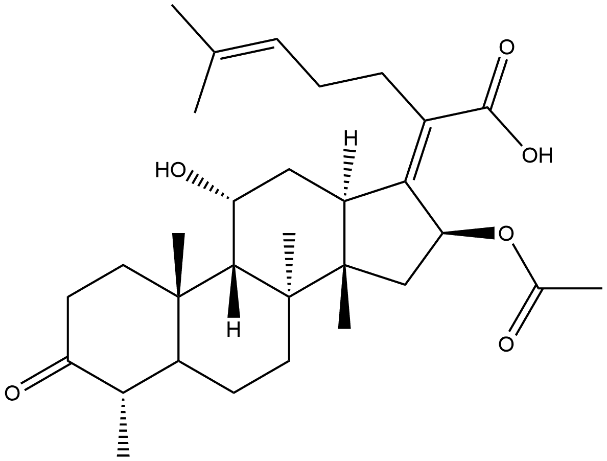
CAS号:6990-06-3 | 英文名称:fusidic acid
分子式 C31H48O6
分子量 517
EINECS号 230-256-0
MDL MFCD00865135
Smiles
InChIKey
乙二醇化学百科
基本信息
中文名称 夫西地酸
英文名称 Fusidic Acid
CAS号 6990-06-3
分子式 C31H48O6
分子量 516.72
EINECS号 230-256-0
物化性质
熔点 190-192°C
比旋光度 D20 -9° (chloroform)
沸点 521.49°C (rough estimate)
密度 1.0389 (rough estimate)
蒸气压 0-0Pa at 25℃
折射率 1.4890 (estimate)
LogP 2.68-6.75 at 20℃
溶解度 几乎不溶于水,易溶于乙醇 (96%)
形态 固体
酸度系数(pKa) pK: 5.35 in water
颜色 白色至类白色
旋光性 (optical activity) -920 (c 1, CHCl3)
水溶解性 2.376-525000μg/L at 25℃
最大波长(λmax) 204nm(H2O)(lit.)
默克索引编号 14,4317
稳定性 吸湿性
安全信息
危险品标志 Xn
危险类别码 22
安全说明 36
WGK Germany 3
RTECS号 RC1350000
海关编码 29419000
毒性 LD50 in mice (g/kg): 1.2 s.c.; 1.5 orally (Godtfredsen)
生产及用途
夫西地酸又称梭链孢酸、褐霉酸钠、梭链孢酸钠、褐霉素或甾酸霉素,是一种具有甾体骨架的梭链孢酸类抗生素,其化学结构与头孢菌素P相似,不是激素,由真菌中的球形梭链孢菌(Fusidium coccineum)或某些头孢霉(Cephalosporium spp)产生。抗菌谱窄,与新生霉素相似,但对脆弱拟杆菌(Bacteroides fragilis)作用明显,而对链球菌(Streptococcus spp)、肺炎链球菌(S.pneumoniae)的作用较弱。其作用机制是抑制细菌的蛋白质合成,起抑菌或杀菌作用。对葡萄球菌(包括耐甲氧苯青霉素株或耐其他抗生素株) 有较强的抗菌作用,对链球菌、肠球菌、白喉杆菌、梭状芽胞杆菌、奈瑟菌属以及结核杆菌也有一定的抗菌作用,对脆弱拟杆菌作用较弱。革兰阴性菌中除了淋病奈瑟菌、脑膜炎奈瑟菌、难辨梭菌、脆弱类杆菌等对本品敏感外,其他均对本品耐药。在体外,葡萄球菌对本品极易产生耐药性。细菌对本品和其他抗感染药物之间无交叉耐药性。
临床上夫西地酸用于敏感菌所致的骨髓炎或皮肤、软组织感染。也用于其他抗生素治疗失败的深部感染,如败血症、肺炎、心内膜炎等。成人:口服,一次500mg,tid; 重症加倍。局部给药,bid~tid,涂于患处,疗程为7日。治疗疥疮时可根据病情需要延长疗程。儿童: 口服,对1岁以下患儿一日 50mg/kg,分三次给药; 对1~5岁患儿一次250mg,tid; 对 5~12岁患儿,用法用量同成人。夫西地酸钠又称褐霉酸钠、梭链孢酸钠,是一种具有甾体骨架的窄谱抗生素,为夫西地酸的种衍生物,外观为白色结晶或结晶粉末,无臭,味苦,微有引湿性,易溶于水、乙醇,微溶于氯仿,不溶于丙铜、乙醚、苯。由丹麦利奥制药公司首次研发成功,商品名为立思丁,本品组织渗透力强,主要在肝脏内代谢,而由胆汁排泄,几乎不经过肾脏排出,毒性较低,通过抑制细菌蛋白合成产生杀菌作用,对革兰阳性菌有较好的抗菌作用,具有较好的耐药性,同时对青霉素、甲氧西林等抗生素耐药的菌株对本品仍敏感,夫西地酸钠与临床使用的其它抗菌药物之间无交叉耐药性。本品为非头孢类抗生素,因此不需要做皮肤过敏试验,目前临床上已广泛应用于治疗由各种敏感细菌,尤其是葡萄球菌引起的各种感染,如骨髓炎、败血症、心内膜炎,反复感染的囊性纤维化、细菌性心肌内膜炎、肺炎、脑膜炎、白喉、结核、皮肤及软组织感染,外科及创伤性感染等。静脉给药用于严重感染或耐药菌株感染,亦用于MRSA感染。但由于其易产生耐药性,多作为辅助用药。口服治疗难辨梭状芽孢杆菌所致伪膜性肠炎有良效。夫西地酸钠有极好的组织渗透能力,在机体内分布广泛。临床上尤为重要的是,本品不但在血液供应丰富的组织中有高浓度,即使在血管分布较少的组织中也同样具有高浓度。已知在脓液、痰液、软组织、心脏、骨组织、滑液、死骨片、烧伤痂、脑脓肿和眼内,夫西地酸钠的浓度均超过其对葡萄球菌的最小抑菌浓度(0.03~0.16 微克/毫升)。夫西地酸钠在肝脏代谢,主要由胆汁排出,几乎不经肾脏排泄。本品毒性极低,与临床使用的其他抗菌药物之间无交叉过敏性,因此可用于治疗对其他抗生素禁忌的病人,如对青霉素或其他抗生素过敏者。对因严重或深部感染而需长时间用药时,建议夫西地酸钠与其他抗葡萄球菌药物联用以减少耐药性的产生。夫西地酸钠可与耐青霉素酶的青霉素类、头孢菌素类、红霉素、氨基糖苷类、林可霉素、利福平或万古霉素联合使用,并可获得相加或协同作用的效果。Fusidic acid (Fusidate),Fusidium coccineum 属甾体类抑菌抗生素,无皮质类固醇作用。Fusidic acid 通过阻止核糖体释放翻译延长因子 G (EF-G) 来抑制细菌的生长。

Bacterial

用途 
临床上应用通常制成钠盐,钠盐分子式为C31H47NaO6。 夫西地酸对与皮肤感染有关的各种革兰氏阳性球菌尤其对葡萄球菌高度敏感,对耐药金黄色葡萄球菌也有效,对某些革兰氏阴性菌也有一定的抗菌作用。与其它抗生素无交叉耐药性
上下游产品
上游产品共计:0个
下游产品共计:0个
产品供应商
Fusidic Acid
询价
上海阿拉丁生化科技股份有限公司
2023-10-02

本网站展示的所有产品仅用于工业制造、技术研发、科学研究,所有产品非药品不可食用,依据国家相关法规及平台管理要求,购买相关危险物品应取得有效的资质、资格条件。 参考《应急管理部等多部门关于加强互联网销售危险化学品安全管理的通知 (应急〔2022〕119号)》 和《互联网危险物品信息发布管理规定》

Copyright © 2021-2025 chemhome123版权所有 |冀ICP备2024096099号- 1|冀公安备13042302000143号|互联网增值电信业务经营许可证:冀B2-20250121 |药品、 医疗器械互联网信息服务备案凭证备案号:(冀)-非经营性-2025-0099