什么是分子间作用力?
在宏伟的分子世界中,原子通过共价键等强烈的化学键结合成分子实体,但这仅仅是故事的开端。分子与分子之间,甚至一个大分子内部不同部分之间,存在着一系列相对微弱但至关重要的相互作用力,统称为分子间作用力或非共价相互作用。
这些力量虽然在能量上远不及化学键,却如同一双双“无形之手”,精确地调控着物质的物理性质(如熔点、沸点、溶解度)、分子的空间构象、以及生命活动的核心过程。
传统的实验手段为我们揭示了这些作用力的存在和宏观效应,但随着计算科学的飞速发展,我们如今能够借助高性能计算和先进的理论模型,以前所未有的精度和深度,在电子和原子层面“看到”并量化这些作用力。
本文旨在系统梳理分子间作用力的主要类型,并重点阐述当前计算化学领域用于分析这些相互作用,特别是弱相互作用的前沿方法,如氢键计算、量子化学拓扑分析(QTAIM)以及非共价相互作用(NCI)可视化分析,并结合具体案例深入解读其在科研中的应用。
分子间作用力的多样性与内涵
分子间作用力的范畴广泛,其本质主要源于分子间电子云分布不均所产生的静电相互作用。根据其来源和特性的不同,可主要分为几大类。
最普遍存在的是范德华力(van der Waals force),它本身又是一个集合,包括由分子瞬时偶极引发的伦敦色散力、极性分子永久偶极间相互作用的取向力(偶极-偶极相互作用)、以及永久偶极与诱导偶极间的诱导力。色散力是所有分子间都存在的基础作用力,其强度随分子大小和电子云的可变形性(极化率)增加而增强。

在范德华力之上,氢键(Hydrogen Bond)是一种特殊且极为重要的分子间作用力。它通常发生在电负性很强的原子(如O、N、F)上连接的氢原子与另一个电负性很强的原子之间。
氢键具有显著的方向性和饱和性,其强度介于普通范德华力和弱共价键之间,是决定水、醇等物质特性,以及维持蛋白质二级结构(如α-螺旋和β-折叠)和DNA双螺旋结构稳定性的关键。

近年来,随着对芳香体系研究的深入,π-π堆积(π-π stacking)作用受到了越来越多的关注。这种相互作用特指两个或多个富含π电子的芳香环之间的吸引力。π-π堆积在维持生物大分子(如DNA碱基对堆积、蛋白质中芳香氨基酸残基的排列)的构象中扮演着核心角色,并且是超分子化学自组装和药物分子识别过程中的重要驱动力。
π-π堆积的构型多样,包括面对面(face-to-face)的平行堆积和T型(T-shaped)堆积等,其作用能受到环上取代基和相对取向的显著影响。除上述几种外,还存在离子-偶极、卤键、阳离子-π等多种类型的非共价相互作用,它们共同编织了复杂而精妙的分子间相互作用网络。
分子间作用力的计算与分析
为了从理论层面精确描述和量化分子间作用力,计算化学家发展了一系列强大的分析工具。这些分析通常基于量子化学计算得到的体系波函数或电子密度。整个计算流程通常始于使用像Gaussian这样的量子化学软件包,对研究的分子体系进行结构优化。
这一步旨在找到体系在势能面上的最低点。计算中需要审慎选择合适的理论方法和基组,例如,密度泛函理论(DFT)中的ωB97XD泛函因其对弱相互作用的良好描述而备受青睐,而Pople系列的6-311++G(d,p)等大型基组则能更准确地描述分子的电子分布,对于获得可靠的相互作用能至关重要。
优化完成后,通常会进行频率计算,以确认所获结构为能量极小点(即没有虚频),确保了后续分析的物理意义。基于这个优化好的结构及其精确的波函数,我们便可以开展深入的相互作用分析。

DOI:10.1063/5.0018972
氢键的精确定量
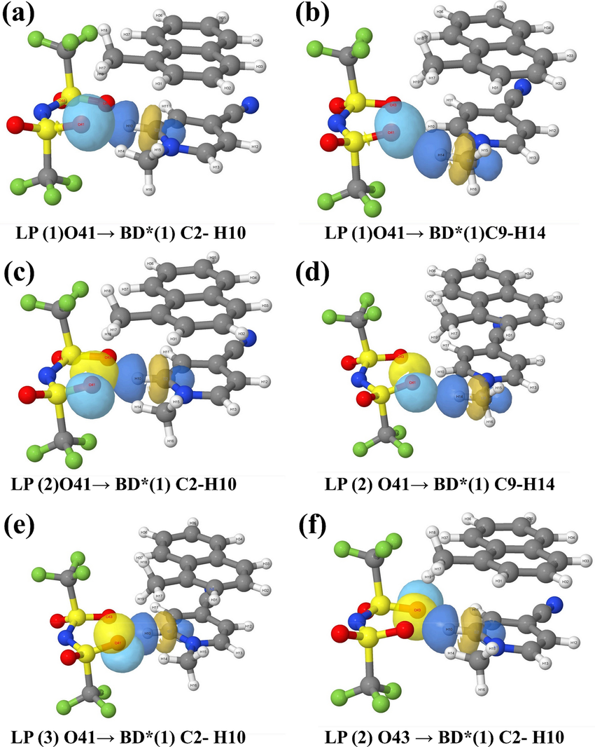
对于方向性强、能量较高的氢键,自然键轨道(NBO)分析和量子化学拓扑分析(QTAIM)是两种非常有效的定量研究工具。NBO分析的核心思想是将复杂的分子波函数分解为定域化的、符合化学直觉的自然键轨道。
在氢键体系(表示为D-H···A,D为氢供体,A为氢受体)中,NBO分析可以清晰地揭示氢键的轨道相互作用本质。这种相互作用主要表现为氢受体A上的孤对电子(lone pair, LP)轨道向氢供体D-H键的反键轨道()发生电子转移。
NBO程序可以计算出这种轨道相互作用的强度,即二阶微扰稳定化能。这个值的大小直接反映了电荷转移的程度,因此成为衡量氢键强度的重要指标,其数值越大,通常意味着氢键越强。
与NBO从轨道相互作用角度出发不同,Bader发展的QTAIM理论则完全基于体系的电子密度(ρ(r))拓扑学特征来分析化学键和分子间相互作用。在QTAIM理论中,如果两个原子间存在一条电子密度最大的路径(键径,bond path),并且在这条路径上存在一个电子密度梯度为零的点,即键临界点(Bond Critical Point, BCP),则认为这两个原子间存在相互作用。
对于氢键D-H···A,在H和A原子之间通常可以找到这样一个BCP。通过分析BCP点上的一系列物理量,可以全面地表征氢键的性质。例如,BCP处的电子密度值和电子密度的拉普拉斯值是两个最基本的判据。
一般来说,的值与相互作用强度正相关。此外,BCP点的势能密度V(r)和动能密度G(r)也包含着丰富的信息。根据Espinosa等人提出的关系式,氢键的能量()可以近似地由BCP处的势能密度V(r)估算(),这为从电子密度直接估算相互作用能提供了一条便捷的途径。
通过综合分析这些QTAIM参数,研究者可以对氢键的强度、类型(纯静电、部分共价性)等做出精细的判断。

DOI:10.1007/s00214-023-03073-x
弱相互左右的可视化与解读
对于像范德华力、π-π堆积这类更弥散、更微弱的相互作用,NBO和QTAIM的分析有时会遇到困难。为了直观地揭示和理解这些弱相互作用,Johnson和Yang等人发展的非共价相互作用(NCI)分析方法应运而生,并迅速成为计算化学研究的常规工具。
该方法的核心是约化密度梯度(Reduced Density Gradient, RDG),其定义为。
RDG的巧妙之处在于,它能够有效地区分化学键区域和非共价相互作用区域。在电子密度高且变化剧烈的化学键区域,RDG值很大;而在分子间的弱相互作用区域,电子密度ρ(r)和其梯度∇ρ(r)都非常小,导致RDG值也趋近于零。
因此,通过在三维空间中寻找RDG值较小的区域,就可以识别出非共价相互作用发生的空间位置。

DOI:10.1002/smll.202302570
仅仅识别出位置是不够的,NCI分析的精髓在于其强大的可视化能力。这通常通过Multiwfn等波函数分析软件结合VMD等可视化软件来实现。分析时,我们首先生成一个RDG的等值面,这个等值面的值通常设定为0.5 a.u.。
这个值是一个经验上广泛接受的阈值,它所圈出的绿色、蓝色或红色的“饼状”或“片状”区域,就代表了分子间或分子内存在非共价相互作用。颜色的赋予是NCI分析的点睛之笔,它依据等值面上每一点的sign(λ₂)ρ值进行着色。
这里的ρ是电子密度,而λ₂是电子密度Hessian矩阵的第二个本征值,其符号(sign)反映了该点电子密度的聚集(λ₂0)或排空(λ₂0)特性。由此,颜色被赋予了明确的物理意义:
蓝色区域 (sign(λ₂)*ρ << 0):通常对应于较强的吸引性相互作用,如典型的氢键。sign(λ₂)*ρ的负值越大,蓝色越深,表示吸引作用越强。
绿色区域 (sign(λ₂)*ρ≈ 0):代表非常弱的相互作用,主要是范德华力或色散力,例如典型的π-π堆积 。
红色区域 (sign(λ₂)*ρ > 0):表示存在排斥作用,常见于两个原子或基团因空间位阻而过于靠近,或者存在于环状结构的内部张力区域。
通过一张NCI图,我们可以直观地“看”到分子间复杂的相互作用网络,识别出哪些部分在相互吸引,哪些在相互排斥,以及作用的相对强弱。

上图是一个典型的NCI分析可视化结果示意图,展示了分子间不同类型的相互作用。例如,在两个分子片段之间,我们可以清晰地看到一片蓝色的等值面,这明确指示了一个强烈的氢键相互作用的存在。
而在其他没有形成氢键但彼此靠近的区域,则分布着大片的绿色等值面,这代表着范围更广、强度更弱的范德华接触。
如果两个非键合的原子被迫挤压在一起,在它们之间就会出现红色的排斥区域。这种直观的图像对于理解分子识别、构象稳定性以及反应机理具有不可估量的价值。
我们以一个具体的案例——苯二聚体的π-π堆积作用——来进一步阐释NCI分析的应用。在计算中,我们通常采用标准的参数设置,即RDG等值面值为a.u.,着色范围为sign(λ₂)ρ从-0.035 a.u. (蓝色) 到+0.02 a.u. (红色)。
对一个平行堆积的苯二聚体进行NCI分析,我们预期在两个苯环之间会观察到一个大的、近乎圆盘状的绿色等值面。这个绿色的表面清晰地表明,两个芳香环之间存在着广泛的、以范德华力为主的弱吸引相互作用,这正是π-π堆积的典型特征。
如果苯环发生了一定的滑移,使得一个苯环的富电子区域正对另一个苯环的缺电子区域(例如氢原子),那么在相应的局部区域,绿色表面上可能会出现偏蓝的色调,暗示着静电吸引作用的增强。反之,如果两个苯环距离过近,超出了范德华半径,那么在环与环之间则可能出现红色的排斥区域。

实际应用
NCI等分析方法在药物设计领域显示出巨大的潜力。药物分子能否与靶点蛋白有效结合,很大程度上取决于它们之间形成的非共价相互作用网络。
以一个假设的药物-蛋白复合物(例如,文献中多次提到的PDB ID: 1A2C,一个丝氨酸蛋白酶/抑制剂复合物)中的π-π堆积作用为例,我们可以想象一下如何对其进行分析。假设在蛋白的活性口袋中,药物分子的一个苯环与蛋白的一个酪氨酸(Tyr)残基的苯环形成了π-π堆积。
通过对整个复合物进行NCI分析,我们可以在三维结构模型中清晰地看到,在药物苯环与Tyr残基苯环之间,生成了一片显著的绿色NCI等值面。这张图直观地证实了π-π堆积作用的存在及其空间位置。
进一步,我们可以测量两个芳香环质心之间的距离以及它们的相对夹角,将这些几何参数与NCI图谱的特征(如等值面的大小、颜色深浅)相关联。
虽然NCI图本身不直接输出以kcal/mol为单位的能量值,但其分析结果,特别是从NCI散点图(RDG vs. sign(λ₂)ρ)中积分得到的低RDG、低密度区域的特征,可以与其他方法计算的相互作用能建立良好的相关性,从而间接评估该π-π堆积对结合亲和力的贡献。
这种细致的分析能够帮助药物化学家理解关键的药效基团,并为优化分子结构、提高药物活性和选择性提供宝贵的理论指导。
机器学习赋能相互作用预测
展望未来,分子间作用力的研究正朝着更高效、更智能的方向发展。尽管量子化学计算提供了精确的分析手段,但其高昂的计算成本限制了其在超大体系和高通量筛选中的应用。
近年来,机器学习(ML),特别是图神经网络(GNN)的崛起,为这一领域带来了革命性的机遇。研究人员正在开发能够从海量已计算数据中学习“规律”的ML模型,用于快速预测分子性质和相互作用能。
例如,在QM9等标准数据集上训练的GNN模型,如SchNet、GAT等,已经能够在极短的时间内预测分子的能量、偶极矩等性质,其精度可与中低水平的DFT计算相媲美。虽然目前专门针对弱相互作用能量预测的成熟开源模型仍在发展中,但这一方向已展现出巨大潜力。
可以预见,在不远的将来,结合了物理原理的机器学习模型将能够实时、准确地预测复杂生物体系中的非共价相互作用,极大地加速药物发现和材料设计的进程。
同时,虚拟现实(VR)等沉浸式可视化技术的发展,也预示着未来科学家们或许能够“走进”分子世界,以更直观的方式操控分子,感受它们之间的相互作用力,从而激发新的科学灵感。
分子间作用力是塑造我们所处物质世界形态和功能的核心力量。从经典的范德华力、氢键到现代化学关注的π-π堆积等弱相互作用,对其深刻的理解是众多科学领域取得突破的关键。
以量子化学计算为基础,结合NBO、QTAIM、特别是NCI/RDG等先进的分析方法,我们已经能够对这些“无形之手”进行前所未有的精细描绘和定量分析。这些工具不仅揭示了相互作用的电子结构本质,更通过强大的可视化功能,为我们提供了直观的化学图像。
随着机器学习等人工智能技术的融入,对分子间作用力的研究正在迈入一个崭新的时代,必将推动我们在分子层面上的认知和创造能力达到新的高度。
免责声明:所载内容来源互联网,我们对文中观点保持中立,仅供参考,交流之目的。转载的稿件版权归原作者和机构所有,如有侵权,请联系我们删除。
作者: