您好!欢迎来到化工e站网
登录
注册
发布供应信息
我的EWeb ▼
发布产品
产品管理
导航菜单 ▼
关于我们
中文 ▼
简体中文
产品
字典
氯化钾
|
乙二醇
|
碘甲烷
|
溴化亚铜
|
叔丁醇钾
|
DMAP
全部分类
∨
首页
Cas目录
产品分类
新闻资讯
医药中间体
无机化工
有机原料
原料药
染料及颜料
表面活性剂
香精与香料
化学试剂
食品添加剂
催化剂及助剂
分析化学
原料药中间体
OLED材料中间体
9-[1,1'-联苯]-3-基-3-溴-9H-咔唑
2-碘-9,9-二甲基芴
9,9-二甲基-2,7-二碘芴
(9-苯基-9H-咔唑-2-基)硼酸
2,6-bis(3-(9H-carbazol-9-yl)phenyl)pyridine
2-{[5-(1,3-二噁茚满-5-基)-1,2-噁唑-3-基]甲氧基}乙酸
3-苯基-9-苯基咔唑-6-硼酸频哪醇酯
N-(4-溴苯基)-N-苯基-1-萘胺
单质
铼粉
铑
钌催化剂
钐粉
金属钪
氢、氮、氧等工业气体
无机碱
氢氧化铯 溶液
碳酸钠(十水)
溴化钙
无机酸
氧化物和过氧化物
荧光素
非金属矿
羰基金属
目录导航
基本信息
物化性质
安全信息
生产及用途
上下游产品
相关产品
首页
化工产品目录
原料药
激素及调节内分泌功能类药
避孕药
氯地孕酮
氯地孕酮
产品纠错
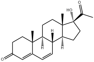
CAS号:1961-77-9
|
英文名称:CHLORMADINON
分子式
C
21
H
27
ClO
3
分子量
363
EINECS号
217-802-3
MDL
MFCD01698998
Smiles
InChIKey
氯地孕酮化学百科
基本信息
中文名称
氯地孕酮
英文名称
CHLORMADINON
CAS号
1961-77-9
分子式
C21H27ClO3
分子量
362.89
EINECS号
217-802-3
物化性质
熔点
213°C
沸点
478.95°C (rough estimate)
密度
1.0559 (rough estimate)
折射率
1.4585 (estimate)
酸度系数(pKa)
12.87±0.70(Predicted)
安全信息
生产及用途
用途
属强效孕激素
类别
有毒物质
毒性分级
低毒
急性毒性
口服-大鼠 LD50: > 10000 毫克/公斤; 腹腔-大鼠 LD50: > 5000 毫克/公斤
可燃性危险特性
热分解排出有毒氯化物烟雾
储运特性
库房低温通风干燥
灭火剂
水,二氧化碳, 泡沫, 干粉
上下游产品
上游产品
共计:
4
个
CAS号:68-96-2
羟孕酮
CAS号:302-22-7
氯地孕酮醋酸盐
CAS号:68-96-2
羟孕酮
CAS号:302-22-7
氯地孕酮醋酸盐
下游产品
共计:
0
个
相关产品
CAS号:1961-77-9
氯地孕酮
CAS号:427-51-0
醋酸环丙孕酮
CAS号:2098-66-0
环丙孕酮
CAS号:302-22-7
氯地孕酮醋酸盐
CAS号:1961-77-9
氯地孕酮
CAS号:427-51-0
醋酸环丙孕酮
CAS号:2098-66-0
环丙孕酮
CAS号:302-22-7
氯地孕酮醋酸盐
产品供应商