您好!欢迎来到化工e站网
登录
注册
发布供应信息
我的EWeb ▼
发布产品
产品管理
导航菜单 ▼
关于我们
中文 ▼
简体中文
产品
字典
氯化钾
|
乙二醇
|
碘甲烷
|
溴化亚铜
|
叔丁醇钾
|
DMAP
全部分类
∨
首页
Cas目录
产品分类
新闻资讯
医药中间体
无机化工
有机原料
原料药
染料及颜料
表面活性剂
香精与香料
化学试剂
食品添加剂
催化剂及助剂
分析化学
原料药中间体
OLED材料中间体
9-[1,1'-联苯]-3-基-3-溴-9H-咔唑
2-碘-9,9-二甲基芴
9,9-二甲基-2,7-二碘芴
(9-苯基-9H-咔唑-2-基)硼酸
2,6-bis(3-(9H-carbazol-9-yl)phenyl)pyridine
2-{[5-(1,3-二噁茚满-5-基)-1,2-噁唑-3-基]甲氧基}乙酸
3-苯基-9-苯基咔唑-6-硼酸频哪醇酯
N-(4-溴苯基)-N-苯基-1-萘胺
单质
铼粉
铑
钌催化剂
钐粉
金属钪
氢、氮、氧等工业气体
无机碱
氢氧化铯 溶液
碳酸钠(十水)
溴化钙
无机酸
氧化物和过氧化物
荧光素
非金属矿
羰基金属
目录导航
基本信息
物化性质
安全信息
生产及用途
上下游产品
相关产品
首页
化工产品目录
3-氯甲基吡啶
3-氯甲基吡啶
产品纠错
CAS号:3099-31-8
|
英文名称:3-(CHLOROMETHYL)PYRIDINE
分子式
C
6
H
6
ClN
分子量
128
EINECS号
MDL
MFCD00044583
Smiles
InChIKey
3-氯甲基吡啶化学百科
基本信息
中文名称
3-氯甲基吡啶
英文名称
3-(CHLOROMETHYL)PYRIDINE
CAS号
3099-31-8
分子式
C6H6ClN
分子量
127.57
物化性质
安全信息
生产及用途
上下游产品
上游产品
共计:
2
个
CAS号:892873-56-2
5-溴-2-(吡啶-3-甲氧基)苯甲醛
CAS号:892873-56-2
5-溴-2-(吡啶-3-甲氧基)苯甲醛
下游产品
共计:
0
个
相关产品
CAS号:6959-48-4
3-氯甲基吡啶盐酸盐
CAS号:94001-65-7
1-(4-甲氧基-苯基)-1-苯基-乙醇
CAS号:97936-44-2
2-(4-氯苯基)硫代吡啶-3-羰酰氯
CAS号:150323-38-9
[1(1S,2R),5(S)]-2,3,5-三脱氧-N-(2,3-二氢-2-羟基-1H-茚-1-基)-5-[2-[(叔丁基氨基)甲酰]-1-哌嗪基]-2-(苯基甲基)-D-赤式-戊酰胺
CAS号:158512-24-4
N-[N,O-ISOPROPYLIDENE-(2R)-HYDROXY INDAN-(1S)-YL]-(2R)-BENZYL-(4S,5)-EPOXY PENTANAMIDE
CAS号:10400-19-8
烟酰氯
CAS号:70258-18-3
2-氯-5-氯甲基吡啶
CAS号:49609-84-9
2-氯-3-吡啶羧酸
CAS号:3099-31-8
3-氯甲基吡啶
CAS号:175135-78-1
2-(4-甲基苯基)硫代吡啶-3-羰酰氯
CAS号:58757-38-3
6-氯吡啶-3-羰酰氯
CAS号:150378-17-9
茚地那韦
CAS号:126456-43-7
(1S,2R)-(-)-1-氨基-2-茚醇
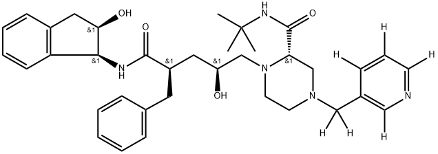
CAS号:185897-02-3
茚地那韦-D6
CAS号:69045-78-9
2-氯-5-三氯甲基吡啶
CAS号:1391053-70-5
Des(3-pyridylMethyl tert-ButylaMinocarbonyl) Indinavir Hydrochloride
CAS号:165249-92-3
2-苯基硫代吡啶-3-羰酰氯
CAS号:16064-08-7
6-碘-4-羟基喹唑啉
CAS号:6959-48-4
3-氯甲基吡啶盐酸盐
CAS号:94001-65-7
1-(4-甲氧基-苯基)-1-苯基-乙醇
CAS号:97936-44-2
2-(4-氯苯基)硫代吡啶-3-羰酰氯
CAS号:150323-38-9
[1(1S,2R),5(S)]-2,3,5-三脱氧-N-(2,3-二氢-2-羟基-1H-茚-1-基)-5-[2-[(叔丁基氨基)甲酰]-1-哌嗪基]-2-(苯基甲基)-D-赤式-戊酰胺
CAS号:158512-24-4
N-[N,O-ISOPROPYLIDENE-(2R)-HYDROXY INDAN-(1S)-YL]-(2R)-BENZYL-(4S,5)-EPOXY PENTANAMIDE
CAS号:10400-19-8
烟酰氯
CAS号:70258-18-3
2-氯-5-氯甲基吡啶
CAS号:49609-84-9
2-氯-3-吡啶羧酸
CAS号:3099-31-8
3-氯甲基吡啶
CAS号:175135-78-1
2-(4-甲基苯基)硫代吡啶-3-羰酰氯
CAS号:58757-38-3
6-氯吡啶-3-羰酰氯
CAS号:150378-17-9
茚地那韦
CAS号:126456-43-7
(1S,2R)-(-)-1-氨基-2-茚醇
CAS号:185897-02-3
茚地那韦-D6
CAS号:69045-78-9
2-氯-5-三氯甲基吡啶
CAS号:1391053-70-5
Des(3-pyridylMethyl tert-ButylaMinocarbonyl) Indinavir Hydrochloride
CAS号:165249-92-3
2-苯基硫代吡啶-3-羰酰氯
CAS号:16064-08-7
6-碘-4-羟基喹唑啉
产品供应商