您好!欢迎来到化工e站网
登录
注册
发布供应信息
我的EWeb ▼
发布产品
产品管理
导航菜单 ▼
关于我们
中文 ▼
简体中文
产品
字典
氯化钾
|
乙二醇
|
碘甲烷
|
溴化亚铜
|
叔丁醇钾
|
DMAP
全部分类
∨
首页
Cas目录
产品分类
新闻资讯
医药中间体
无机化工
有机原料
原料药
染料及颜料
表面活性剂
香精与香料
化学试剂
食品添加剂
催化剂及助剂
分析化学
原料药中间体
OLED材料中间体
9-[1,1'-联苯]-3-基-3-溴-9H-咔唑
2-碘-9,9-二甲基芴
9,9-二甲基-2,7-二碘芴
(9-苯基-9H-咔唑-2-基)硼酸
2,6-bis(3-(9H-carbazol-9-yl)phenyl)pyridine
2-{[5-(1,3-二噁茚满-5-基)-1,2-噁唑-3-基]甲氧基}乙酸
3-苯基-9-苯基咔唑-6-硼酸频哪醇酯
N-(4-溴苯基)-N-苯基-1-萘胺
单质
铼粉
铑
钌催化剂
钐粉
金属钪
氢、氮、氧等工业气体
无机碱
氢氧化铯 溶液
碳酸钠(十水)
溴化钙
无机酸
氧化物和过氧化物
荧光素
非金属矿
羰基金属
目录导航
基本信息
物化性质
安全信息
生产及用途
上下游产品
相关产品
首页
化工产品目录
表面活性剂
非离子表面活性剂
脂肪酸烷酯型
三聚甘油单油酸酯
三聚甘油单油酸酯
产品纠错
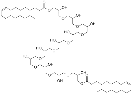
CAS号:33940-98-6
|
英文名称:9-Octadecenoic acid (9Z)-,esters,monoester with triglycerol
分子式
C
27
H
52
O
8
分子量
505
EINECS号
251-749-7
MDL
MFCD00152929
Smiles
InChIKey
三聚甘油单油酸酯化学百科
基本信息
中文名称
聚甘油-3 油酸酯
英文名称
oleic acid, monoester with triglycerol
CAS号
33940-98-6
分子式
C27H52O8
分子量
504.7
EINECS号
251-749-7
物化性质
闪点
95℃
安全信息
WGK Germany
3
生产及用途
上下游产品
上游产品
共计:
0
个
下游产品
共计:
0
个
相关产品
CAS号:59113-36-9
二聚丙三醇
CAS号:122-32-7
甘油三油酸酯
CAS号:123-94-4
单硬酯酸甘油酯 , 60%
CAS号:1323-83-7
二硬脂酸甘油酯
CAS号:33940-99-7
十聚甘油二油酸酯
CAS号:94423-19-5
三聚甘油二硬脂酸酯
CAS号:25496-72-4
单油酸甘油酯
CAS号:33940-98-6
三聚甘油单油酸酯
CAS号:12694-22-3
二甘油单硬脂酸酯
CAS号:95461-65-7
六聚甘油单硬脂酸酯
CAS号:55934-93-5
三丙二醇丁醚
CAS号:79665-94-4
三聚甘油二油酸酯
CAS号:34424-98-1
聚甘油-10 四油酸酯
CAS号:76009-37-5
聚甘油-6 二油酸酯
CAS号:79665-92-2
六聚甘油单油酸酯
CAS号:59113-36-9
二聚丙三醇
CAS号:122-32-7
甘油三油酸酯
CAS号:123-94-4
单硬酯酸甘油酯 , 60%
CAS号:1323-83-7
二硬脂酸甘油酯
CAS号:33940-99-7
十聚甘油二油酸酯
CAS号:94423-19-5
三聚甘油二硬脂酸酯
CAS号:25496-72-4
单油酸甘油酯
CAS号:33940-98-6
三聚甘油单油酸酯
CAS号:12694-22-3
二甘油单硬脂酸酯
CAS号:95461-65-7
六聚甘油单硬脂酸酯
CAS号:55934-93-5
三丙二醇丁醚
CAS号:79665-94-4
三聚甘油二油酸酯
CAS号:34424-98-1
聚甘油-10 四油酸酯
CAS号:76009-37-5
聚甘油-6 二油酸酯
CAS号:79665-92-2
六聚甘油单油酸酯
产品供应商